Basisbegrip 2: Hiërarchisch groeperen
We zijn allemaal bekend met hiërarchische indelingen, oftewel structuren zoals deze:

Figuur 2.2

Figuur 2.3
We gebruiken diverse vergelijkingen om hiërarchieën te beschrijven:
- Een hiërarchie lijkt op een boom, met één stam, veel takken en veel bladeren, hoewel de bovenstaande schema’s de vorm hebben van een omgekeerde boom, met de stam bovenaan.
- Met het beeld van een stamboom in gedachten kunnen we zeggen dat items in de hiërarchie een ouder en kinderen hebben.
- Een hiërarchie doet soms denken aan een piramide, met een brede onderkant, die naar boven toe steeds spitser toeloopt. Een hiërarchie is een geneste structuur van groepen en subgroepen, waarbij de ‘kinderen’ van een item samen een groep vormen.
Hiërarchisch groeperen betekent zaken en groepen in een hiërarchische structuur onderbrengen.
Een coherente hiërarchie is een goed doordachte en weergegeven hiërarchie. De hoofdkenmerken van coherentie van een hiërarchie zijn:
1. Coherente groepen De groepen waaruit de hiërarchie bestaat moeten uiteraard zelf coherent zijn, met andere woorden: volledig, intern verschillend, minimaal en geordend.
2. Abstractie Het hoofdprincipe voor de abstractie van hiërarchieën kan als volgt worden samengevat: • Hoe hoger, hoe algemener. Hoe ‘hoger’ een item zich binnen de hiërarchie bevindt (dat wil zeggen, hoe dichter bij de stam), hoe algemener en abstracter dit moet zijn.

Figuur 2.4
- Consistente niveaus. Items die zich op hetzelfde niveau bevinden (ook tussen verschillende vertakkingen), moeten ongeveer even abstract zijn.
- Volledige dekking niveaus. Alle relevante abstractieniveaus moeten vertegenwoordigd zijn, er mogen geen schakels ontbreken.
3. Congruentie
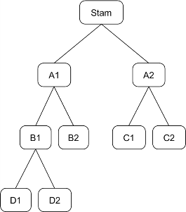
Een hiërarchie is volledig congruent als in de gehele hiërarchie vergelijkbare groeperingprincipes worden gehanteerd. Congruentie kent twee vormen:
- Horizontale congruentie. Groepen op hetzelfde niveau (bijvoorbeeld B1, B2 en C1, C2) hebben hetzelfde groeperingprincipe.

Figuur 2.5
- Verticale congruentie. Groepen hebben ongeveer hetzelfde groeperingprincipe als de groepen daar direct boven of onder.
Wenselijk, maar niet verplicht
In het ideale geval voldoet een hiërarchie aan alle eisen van coherentie, maar in sommige gevallen kunnen de eisen wat minder streng zijn. Dat geeft niet, zolang iemand maar goed begrijpt waar hij of zij mee bezig is, en waarom.
Zie ook: Basisbegrip Groeperen